Anoy2135859
注册
登录
收藏夹
购物车
产品总览
生化试剂
分子生物学试剂
蛋白与免疫试剂
通用耗材
实验室仪器
服务与支持
新产品
关于我们
公 司 简 介
公 司 文 化
公 司 资 质
招 聘 信 息
联 系 方 式
帮 助 中 心
网上商城
网上商城
订单查询
收藏夹
购物车
帮助中心
×
搜索关键词需超过两位字符!
最近浏览记录
产品总览
生化试剂
氨基酸类
螯合剂
变性剂
表面活性剂
醇类
蛋白纯化试剂
蛋白电泳试剂
蛋白类
蛋白酶抑制剂
多聚物
多肽
辅酶
核酸酶抑制剂
还原剂
缓冲液
缓冲液粉包
激素类
即用型试剂
碱基/核苷
抗凝剂
抗生素/筛选试剂
抗生素溶液
酶标记物
酶底物
酶类
其他
染色剂指示剂
溶剂类
生物标记物
酸类
碳水化合物
糖类
维生素类
盐类
抑菌剂
诱导剂
植物激素类
植物培养试剂
酯类
分子生物学
DNA Marker
PCR试剂
核酸电泳缓冲液
核酸染料
连接酶
上样缓冲液
脱氧核苷酸
蛋白与免疫
蛋白提取/定量
蛋白电泳/Marker
蛋白Marker
Western Blot
通用耗材
PCR管
封板膜
离心管
瓶类
通用型透析袋夹子
透析袋
移液管
移液器吸头
实验室仪器
迷你高速离心机
脱色摇床
微孔板振荡器
微型离心机
涡旋混合器
涡旋仪
服务与支持
技术开发
技术服务
技术支持
查找COA
新产品
关于我们
公 司 简 介
公 司 文 化
公 司 资 质
招 聘 信 息
联 系 方 式
帮 助 中 心
网上商城
网上商城
订单查询
收藏夹
购物车
帮助中心
您现在的位置是:
首页
>
产品中心
产品中心
Products
生命科学
蛋白研究试剂
蛋白marker
蛋白电泳缓冲液
免疫印记试剂
分子生物学试剂
DNA Marker
PCR试剂
核酸电泳缓冲液
核酸染料
连接酶
上样缓冲液
脱氧核苷酸
免疫学试剂
单克隆抗体
生化试剂
氨基酸类
螯合剂
变性剂
表面活性剂
醇类
蛋白纯化试剂
蛋白电泳试剂
蛋白类
蛋白酶抑制剂
多聚物
多肽
辅酶
核酸酶抑制剂
还原剂
缓冲液
缓冲液粉包
激素类
即用型试剂
碱基/核苷
抗凝剂
抗生素/筛选试剂
抗生素溶液
酶标记物
酶底物
酶类
其他
染色剂指示剂
溶剂类
生物标记物
酸类
碳水化合物
糖类
维生素类
盐类
抑菌剂
诱导剂
植物激素类
植物培养试剂
酯类
实验室耗材
PCR管
封板膜
离心管
瓶类
通用型透析袋夹子
透析袋
移液管
移液器吸头
实验室仪器
迷你高速离心机
脱色摇床
微孔板振荡器
微型离心机
涡旋混合器
涡旋仪
细胞培养试剂
细胞染色剂
GPC产品搜索结果:显示 41 - 60 of 935 Results
1
2
3
4
...
47
AA110
收藏
刀豆蛋白A
(英文名称:Con A(Jack bean))
CAS no.
11028-71-0
AA122
收藏
L-酪氨酸二钠二水
(英文名称:L-TYROSINE DISODIUM SALT DIHYDRATE)
CAS no.
122666-87-9
分子量:261.19
分子式:C9H9NNa2O3·2H2O
AA132
收藏
纤维蛋白原
(英文名称:Fibrinogen)
CAS no.
9001-32-5
AA147
收藏
L-脯氨酸
(英文名称:L-PROLINE)
CAS no.
147-85-3
分子量:115.1
分子式:C5H9NO2
AA161
收藏
5’-二磷酸腺苷二钠
(英文名称:5’-ADP Na2)
CAS no.
16178-48-6
分子量:471.16
分子式:C10H13N5O10P2Na2
AA169
收藏
N-乙酰-L-半胱氨酸
(英文名称:N-ACETYL-L-CYSTEINE)
CAS no.
616-91-1
分子量:163.19
分子式:C5H9NO3S
AA180
收藏
鸟苷
(英文名称:GUANOSINE)
CAS no.
118-00-3
AA183
收藏
2-氯腺嘌呤
(英文名称:2-CHLOROADENINE)
CAS no.
1839-18-5
AA190
收藏
2,6-二氨基嘌呤
(英文名称:2,6-DIAMINOPURINE)
CAS no.
1904-98-9
AA236
收藏
N6-异戊烯基腺嘌呤
(英文名称:N6-(2-ISOPENTENYL)-ADENINE)
CAS no.
2365-40-4
分子量:203.24
分子式:C10H13N5
AA270
收藏
谷胱甘肽(氧化型)
(英文名称:GLUTATHIONE, OXIDIZED)
CAS no.
27025-41-8
分子量:612.63
分子式:C20H32N6O12S2
AA290
收藏
铁蛋白 牛脾
(英文名称:Ferritin Horse Spleen)
CAS no.
9007-73-2
AA305
收藏
L-肌肽
(英文名称:L-CARNOSINE)
CAS no.
305-84-0
AA309
收藏
L-胱氨酸二盐酸
(英文名称: L-CYSTINE DIHYDROCHLORIDE)
CAS no.
30925-07-6
AA312
收藏
2'-脱氧鸟苷一水
(英文名称:2‘-DEOXYGUANOSINE MONOHYDRATE)
CAS no.
312693-72-4
AA318
收藏
L-鸟氨酸盐酸盐
(英文名称:L-ORNITHINE MONOHYDROCHLORIDE)
CAS no.
3184-13-2
分子量:168.62
分子式:H2N(CH2)3CH(NH2)COOH·HCl
AA321
收藏
硫酸腺嘌呤
(英文名称:ADENINE SULFATE)
CAS no.
321-30-2
分子量:368.33
分子式:C10H12N10SO4
AA345
收藏
L-硫代脯氨酸
(英文名称:L-THIOPROLINE)
CAS no.
34592-47-7
AA372
收藏
L-瓜氨酸
(英文名称:L-CITRULLINE)
CAS no.
372-75-8
分子量:175.19
分子式:H2NCONH(CH2)3CH(NH2)COOH
AA457
收藏
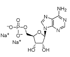
5'-一磷酸腺苷二钠
(英文名称:AMP-Na2)
CAS no.
4578-31-8
1
2
3
4
...
47
官方直营
GPC正品保证
货票同行
货到票到,安心保障
专业售后
专业客服,贴心解答
全国配送
顺丰快递 无区域局限
产品中心
PCR, RT-PCR, qPCR, qRT-PCR
快速内切酶和修饰酶
DNA 分子量标准
基因克隆与点突变
核酸纯化
蛋白提取、纯化及检测
蛋白分子量标准
外泌体
常用抗体
仪器
服务与支持
快速下载
友情客服
技术讲座资料下载
产品FAQ
视频中心
走进金普赛思
公司简介
企业文化
公司资质
联系我们
人才招聘
地址:北京市海淀区土井村东2号楼1层116室
E-mail:
客服热线:010-82872118,021-61807279
京ICP备19045181号-1
北京金普赛思生物技术有限公司 |
经营证照
地址:北京市海淀区土井村东2号楼1层116室; 电话:010-82872118,021-61807279